Li-ion Аккумуляторы характеристики, опыт эксплуатации.

Автор DonMiha, 26 Июль 2011 в 12:59

« назад - далее »

0 Пользователи и 1 гость просматривают эту тему.

bobshishkn

[user][/user], спасибо, не дождался ответа, поехал. 4,8км,температура поднялась до 7 градусов.

tmiaer

[user]Sumskoy[/user], холодную батарейку нельзя заряжать! Разряжать можно спокойно, если вас устроит просадка под нагрузкой и батарейка от этой просадки не будет вырубаться.

ser_mih

#2342
Цитата: tmiaer от 16 Март 2018 в 19:22Sumskoy, холодную батарейку нельзя заряжать!
Он ещё и не такое может "выдать на гора". Одним словом "менеджер" с украинского Keeppower, реклама ресурса, не более...

bobshishkn

[user]tmiaer[/user], спасибо,что заряжать нельзя я знаю.

bobshishkn

Посоветуйте, которому верить, все показывают разное напряжение.

tmiaer

[user]bobshishkn[/user], никому. Точный мультиметр на голову выше классом найдите и по нему откалибруйте. И вообще меньше, чем на 0.5% ошибки не рассчитывайте в этих устройствах. А в мелком самом - 1% - уже спасибо.

bobshishkn

Блин, ну так не бывает,насколько разные показания.

LeoDron

Цитата: bobshishkn от 17 Март 2018 в 13:21
Блин, ну так не бывает,насколько разные показания.
Вы бы уже сказали какие они такие разные? Хотя, по опыту могу догадаться, что до 100 мВ может доходить. Высокоточный вольтметр порой трудно найти, но вот такие платку на AD 584, они обычно уже калиброваны с Китая приходят, заиметь посоветую:
https://ru.aliexpress.com/item/Ad584-4-2-5-5-7-5-10/32853943748.html?spm=a2g0v.10010108.1000014.2.3f9279bchOjXEW&traffic_analysisId=recommend_3035_null_null_null&scm=1007.13338.98426.000000000000000&pvid=c8951202-1889-4674-8d6d-6bb4c7ef2c9e&tpp=1
Свою проверял несколько раз  по калиброванному нановольтметру - отклонения не выше 5 мВ.
«Конёк Горбунoк»-Колёса: 16"; Single speed: 48/12T; 2MК (YOUE,250W,8Т); Kонтролёры: 2xКТ 14A; Батарея:36В/27Ач; Вес: ~150 кг; Макс. ск. : 28 км/ч
Симулятор: https://www.ebikes.ca/tools/simulator.html?bopen=true&motor_b=MG01_STD&motor=MG01_STD&batt=B3614_PF&batt_b=B3614_PF&autothrot=false&cont=cust_14_50_0.1_V&cont_b=cust_14_50_0.1_V&mass=150&mass_b=150&hp=0&hp_b=0&throt=100&grade=&grade_b=0&k_b=1&throt_b=100&whee&wheel_b=16i&wheel=16i&add=true&blue=Lbs

bobshishkn

[user]LeoDron[/user], померял большим -3.51-3.52v, маленьким- 3.48-3.55v. У большого  провода длинные, хочу переделать. Наверное многоканальный менее точен по разбросу,  а уж как они откалиброваны...

Sumskoy

Цитата: tmiaer от 16 Март 2018 в 19:22
[user]Sumskoy[/user], холодную батарейку нельзя заряжать! Разряжать можно спокойно, если вас устроит просадка под нагрузкой и батарейка от этой просадки не будет вырубаться.
Посмотрите даташиты, нельзя заряжать при минусовой температуре, а использовать можно!

Добавлено 19 Март 2018 в 11:24

Цитата: ser_mih от 17 Март 2018 в 00:30
Он ещё и не такое может "выдать на гора". Одним словом "менеджер" с украинского Keeppower, реклама ресурса, не более...
Потому что опыта побольше чем у Вас и техническую документацию мы читаем, а Вы прочитайте, а потом говорите.

Best23

Согласен, холодную заряжать нельзя, сначала выдержать при комнатной температуре. Разрядку производить можно (там от химии ещё зависит-лиферу вообще почти пофиг на холод) :wow:, но желательно её перед этим хорошенько утеплить.

LeoDron

#2351
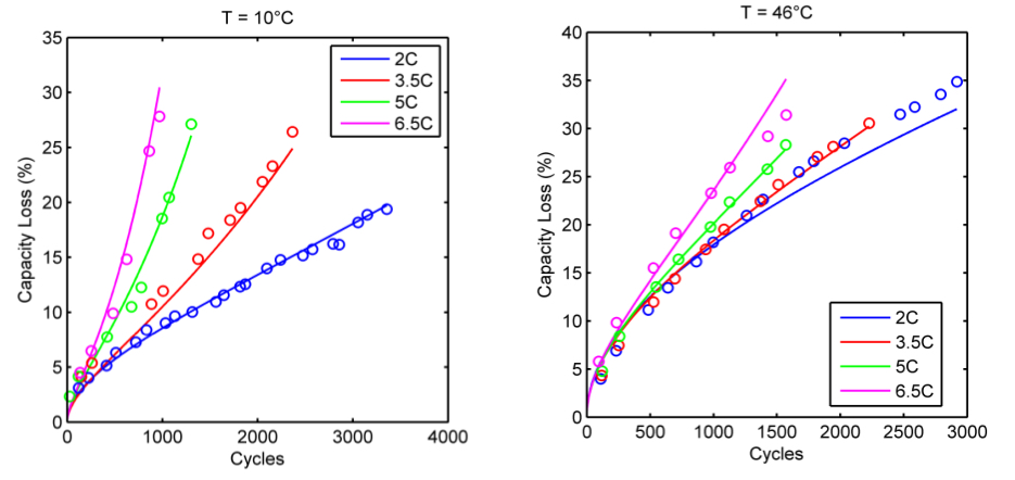
Наткнулся на такую буржуйскую презентацию о 18650:
http://www3.aiche.org/proceedings/content/Annual-2013/extended-abstracts/P314218.pdf
Больше всего удивило это:

Что даже при +10 градусах Цельсия высокие токи убивают батарею быстрее, чем при 46 градусах.
Причину авторы видят, я так понимаю,  в механической деградации, за счёт повышенной хрупкости электролита, а химическая деградация (изменение толщины электролита) при низких температурах отходит на второй план.
Пока для меня не понятно, это влияние эксплуатации(разряда) или заряда при +10 Цельсия ( а авторы заряжали довольно большими токами)?,  но вывод напрашивается, что и заряжать аки стоит при температуре поближе к комнатной.




«Конёк Горбунoк»-Колёса: 16"; Single speed: 48/12T; 2MК (YOUE,250W,8Т); Kонтролёры: 2xКТ 14A; Батарея:36В/27Ач; Вес: ~150 кг; Макс. ск. : 28 км/ч
Симулятор: https://www.ebikes.ca/tools/simulator.html?bopen=true&motor_b=MG01_STD&motor=MG01_STD&batt=B3614_PF&batt_b=B3614_PF&autothrot=false&cont=cust_14_50_0.1_V&cont_b=cust_14_50_0.1_V&mass=150&mass_b=150&hp=0&hp_b=0&throt=100&grade=&grade_b=0&k_b=1&throt_b=100&whee&wheel_b=16i&wheel=16i&add=true&blue=Lbs

tmiaer

[user]LeoDron[/user], ну, значит, в своих выводах о том, что нормальная рабочая температура аккумов - 45 градусов, я не ошибался  ;-D

Инженер механик

Цитата: LeoDron от 22 Март 2018 в 21:31при +10 градусах Цельсия высокие токи убивают батарею быстрее, чем при 46 градусах

Из этих же графиков видно что при эксплуатации токами около 2С и меньше (что наверное бывает чаще) - все наоборот. При +10градусах на 2000 циклов деградация 12% . А при 45 градусах 25%.

илс

Цитата: LeoDron от 22 Март 2018 в 21:31
Наткнулся на такую буржуйскую презентацию о 18650:
http://www3.aiche.org/proceedings/content/Annual-2013/extended-abstracts/P314218.pdf
Больше всего удивило это:

Статью не читал, но к графикам есть вопросы.
Т - это температура аккума или окружающей среды?
Для окружающей среды, +46 в наш малый ледниковый период, многовато и неактуально для средних широт. ;-D

А как можно выдерживать постоянных 46 градусов для электролита? На столь разных токах?
Сами понимаете, уже при 2С температура будет плавно расти до 50 напр., а при 5 или 6С для типового аккума, эксперимент придется прервать до окончания разряда, из-за выхода показаний градусника за паспортные значения для 18650.   :pardon:
Я к тому, что выдерживать ровно 46 градусов, оч. сложно,  как и +10.  :bn:
Методика замеров - непонятна. :ah:

LeoDron

#2355
Цитата: илс от 23 Март 2018 в 11:51Статью не читал, но к графикам есть вопросы.
У меня тоже много вопросов, поэтому и обсуждаю. Согласен, что имеют место  много неясностей. Оставим это на совести авторов - это всё-таки ещё пока не полноценная рецензированная статья, а информация к размышлению.
Но очень похоже на правду, что механическая деградация электролита  очень возрастает при температурах ниже 20 градусов:

«Конёк Горбунoк»-Колёса: 16"; Single speed: 48/12T; 2MК (YOUE,250W,8Т); Kонтролёры: 2xКТ 14A; Батарея:36В/27Ач; Вес: ~150 кг; Макс. ск. : 28 км/ч
Симулятор: https://www.ebikes.ca/tools/simulator.html?bopen=true&motor_b=MG01_STD&motor=MG01_STD&batt=B3614_PF&batt_b=B3614_PF&autothrot=false&cont=cust_14_50_0.1_V&cont_b=cust_14_50_0.1_V&mass=150&mass_b=150&hp=0&hp_b=0&throt=100&grade=&grade_b=0&k_b=1&throt_b=100&whee&wheel_b=16i&wheel=16i&add=true&blue=Lbs

илс

Хех, осилил презентацию.  Написано хорошо. Похоже, речь идет именно об окружающей температуре.
И о моих любимых Sanyo GA/
Судя по всему, они вечные и замечательно переносят большие токи разряда.
Потеря 5% за 1000 циклов- это ниачем, КМК:


LeoDron

Цитата: илс от 23 Март 2018 в 12:20Похоже, речь идет именно об окружающей температуре.
Уверен, что опыты проводились в термостате. Жаль, что не все данные представлены. Пороюсь в литературе - может авторы опубликовали полные результаты где-то. Хотя скорее всего, эта работа делалась GM по заказу арабов (46 градусов кому нужно O_O ), которые сейчас все помешаны на батарейках. И поэтому вряд ли самые интересные для нас данные при 22 и 34 градусах будут опубликованы.  :bn:
«Конёк Горбунoк»-Колёса: 16"; Single speed: 48/12T; 2MК (YOUE,250W,8Т); Kонтролёры: 2xКТ 14A; Батарея:36В/27Ач; Вес: ~150 кг; Макс. ск. : 28 км/ч
Симулятор: https://www.ebikes.ca/tools/simulator.html?bopen=true&motor_b=MG01_STD&motor=MG01_STD&batt=B3614_PF&batt_b=B3614_PF&autothrot=false&cont=cust_14_50_0.1_V&cont_b=cust_14_50_0.1_V&mass=150&mass_b=150&hp=0&hp_b=0&throt=100&grade=&grade_b=0&k_b=1&throt_b=100&whee&wheel_b=16i&wheel=16i&add=true&blue=Lbs